Celulosa

Celulosa

Las fibras del algodón representan la forma natural más pura de la celulosa, conteniendo más del 90 % de este glúcido.
General
Fórmula estructural
Fórmula molecular C6H10O5 
ChEMBL CHEMBL1201676

La celulosa es un biopolímero compuesto exclusivamente de moléculas de β-glucosa[1]​ (desde cientos hasta varios miles de unidades), pues es un homopolisacárido. La celulosa es la biomolécula orgánica más abundante ya que forma la mayor parte de la biomasa terrestre.

La celulosa se utiliza principalmente para producir cartón y papel. En cantidades menores se transforma en una amplia variedad de productos derivados, como celofán y rayón. La conversión de la celulosa de cultivos energéticos en biocombustibles como el etanol celulósico se está desarrollando como fuente de combustible renovable. La celulosa para uso industrial se obtiene principalmente de pulpa de madera y algodón.[2]​ La celulosa también se ve muy afectada por la interacción directa con varios líquidos orgánicos.[3]

Algunos animales, en particular rumiantes y termitas, pueden digerir celulosa con la ayuda de microorganismos simbióticos que viven en sus intestinos, como los Trichonympha'. En la nutrición humana, la celulosa es un constituyente no digerible de fibra dietética insoluble, que actúa como agente de carga hidrófilo para heces y potencialmente ayuda en la defecación.

Historia

La celulosa fue descubierta en 1838 por el químico francés Anselme Payen, que la aisló a partir de materia vegetal y determinó su fórmula química.[4][5][6]​ La celulosa fue utilizada por Hyatt Manufacturing Company para producir el primer polímero termoplástico con éxito en 1870, el celuloide. La producción de rayón («seda artificial») a partir de la celulosa comenzó en la década de 1890 y el celofán fue inventado en 1912. Hermann Staudinger determinó la estructura de polímero de la celulosa en 1920. El compuesto fue sintetizado por primera vez químicamente (sin el uso de ninguna enzima de origen biológico) en 1992, por Kobayashi y Shoda.[7]

Un campo cultivado con algodón, cerca de la cosecha

Estructura

La celulosa está presente en todas las plantas. Igualmente la pueden producir algunos seres vivos que pertenezcan al reino protista.

La disposición de la celulosa y otros polisacáridos en una pared celular vegetal.

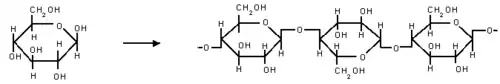
La celulosa se forma por la unión de moléculas de β-D-glucosa mediante enlaces β-1,4-O-glucosídico. Al hidrolizarse totalmente se obtiene glucosa. La celulosa es una larga cadena polimérica de peso molecular variable, con fórmula empírica (C6H10O5)n, con un valor mínimo de n = 200.

Estructura de la celulosa; a la izquierda, β-glucosa; a la derecha, varias β-glucosa unidas.

Tiene una estructura lineal o fibrosa, en la que se establecen múltiples puentes de hidrógeno entre los grupos hidroxilo de distintas cadenas yuxtapuestas de glucosa, haciéndolas impenetrables al agua, lo que hace que sea insoluble en agua, y originando fibras compactas que constituyen la pared celular de las células vegetales.

La asociación de 36 cadenas de celulosa forma una microfibrilla de celulosa.[8]

Estructura supramolecular

Representación esquemática de una microfibrilla que comprende dos cadenas de celulosa.

Los polímeros no ramificados forman cadenas que pueden ensamblarse (de 80 a 120 en promedio) mediante puentes de hidrógeno para formar estructuras rígidas y alargadas, las microfibrillas (aproximadamente 1500 moléculas por fibra). La orientación en disposición paralela está definida por los extremos reductores y no reductores de los polímeros. La molécula se estira, porque los enlaces son ecuatoriales y por lo tanto permiten la máxima extensión.[9]

El grado de polimerización difiere enormemente según el origen de la celulosa; dependiendo de la especie vegetal, su valor puede variar de 1000 a 30000, correspondiendo a una longitud de cadena entre 0,5 y 15 μm.[10]

Función

Enlaces de hidrógeno entre cadenas contiguas de celulosa

La celulosa es un polisacárido estructural en las plantas, ya que forma parte de los tejidos de sostén.[11]​ La pared de una célula vegetal joven contiene aproximadamente un 40 % de celulosa; la madera un 50 %, mientras que el ejemplo más puro de celulosa es el algodón, con un porcentaje mayor al 90 %.[12]​ A pesar de que está formada por glucosas, los animales no pueden utilizar la celulosa como fuente de energía,[13]​ ya que no cuentan con la celulasa, la enzima necesaria para romper los enlaces β-1,4-glucosídicos, y por ello no pueden digerirla. Véase más abajo la manera en que los rumiantes y algunos otros animales sí son capaces de utilizar la celulosa como fuente de energía. De todas maneras es importante incluir la fibra en la dieta humana (fibra alimentaria) porque, al mezclarse con el bolo digestivo facilita el tránsito intestinal, y por tanto la digestión, influye en la microbiota intestinal y puede evitar el estreñimiento.

En el aparato digestivo de los rumiantes (pre-estómagos), de otros herbívoros y de termitas, existen microorganismos, muchos metanógenos, que sí poseen la celulasa y logran romper el enlace β-1,4-glucosídico[14]​ y cuando este polisacárido se hidroliza quedan disponibles las moléculas de glucosas como fuente de energía.

Hay microorganismos (bacterias y hongos) que viven libres y también son capaces de hidrolizar la celulosa. Tienen una gran importancia ecológica, pues reciclan materiales celulósicos como papel, cartón y madera. De entre ellos, es de destacar el hongo Trichoderma reesei, capaz de producir cuatro tipos de celulasas: las 1,4-β-D-glucancelobiohirolasas CBH i y CBH II y las endo-1,4-β-D-glucanasa EG I y EG II. Mediante técnicas biotecnológicas se producen esas enzimas que pueden usarse en el reciclado de papel, disminuyendo el coste económico y la contaminación.[15]

Descubrimiento y usos

La celulosa es la sustancia que más frecuentemente se encuentra en la pared de las células vegetales.

La celulosa constituye la materia prima del papel y de los tejidos de fibras naturales. También se utiliza en la fabricación de explosivos (el más conocido es la nitrocelulosa o «pólvora para armas»), celuloide, seda artificial, barnices y se utiliza como aislamiento térmico y acústico, como producto derivado del papel reciclado triturado. A través de la celulosa vegetal se podrían diseñar e implementar sistemas de tratamiento de aguas, debido a que este polisacárido tiene la capacidad de adsorber metales pesados[16][17]

En alimentación

La celulosa y sus derivados se utilizan en la industria alimentaria. Como aditivos alimentarios llevan los códigos E460 a E466:

  • E460(i), celulosa microcristalina;
  • E460(ii), polvo de celulosa (forma descubierta accidentalmente en 1955 por Orlando A. Battista y Patricia Smith en un laboratorio donde buscaban producir un hilo de viscosa muy resistente para reforzar neumáticos de automóviles23);
  • E461, metil celulosa;
  • E462, etilcelulosa;
  • E463, hidroxipropilcelulosa;
  • E464, hidroxipropilmetilcelulosa;
  • E465, etilmetilcelulosa;
  • E466, carboximetilcelulosa.

Biocombustibles - Sector del etanol celulósico

La transformación de la lignina y la celulosa (de madera, paja) en biocombustibles, como el alcohol o el gas (sector lignocelulósico-biocombustibles), es objeto de intensas investigaciones en todo el mundo. Las tecnologías para transformar la celulosa (la macromolécula más común en la Tierra) son complejas y van desde la degradación enzimática hasta la gasificación. Empresas canadienses (como Iogen) y estadounidenses (Broin Co.) y dos universidades suecas (planta piloto de Örnsköldsvik) están pasando actualmente a la fase de producción industrial de etanol celulósico.

Según el director del Programa de las Naciones Unidas para el Medio Ambiente, las termitas poseen bacterias capaces de transformar de manera eficiente y económica los desechos de madera en azúcares para la producción de etanol. Las enzimas que se encuentran en el tracto digestivo de las termitas y que producen estas bacterias simbióticas son capaces de convertir la madera en azúcar en 24 horas. El potencial del sector celulósico es enorme y las tecnologías están evolucionando rápidamente.

Véase también

Las termitas poseen bacterias capaces de transformar de manera eficiente y económica los desechos de madera en azúcares para la producción de etanol.

Referencias

  1. Martínez, José María Rincón; Lora, Electo Eduardo Silva (26 de marzo de 2015). Bioenergía: Fuentes, conversión y sustentabilidad. José María Rincón Martínez, Electo Eduardo Silva Lora. ISBN 9789585888005. Consultado el 3 de febrero de 2017. 
  2. Klemm, Dieter; Heublein, Brigitte; Fink, Hans-Peter; Bohn, Andreas (2005). «Cellulose: Fascinating Biopolymer and Sustainable Raw Material». Angew. Chem. Int. Ed. 44 (22): 3358-3393. PMID 15861454. doi:10.1002/anie.200460587. 
  3. Mantanis, G. I.; Young, R. A.; Rowell, R. M. (1995). «Inflamación de redes de fibras de celulosa comprimidas en líquidos orgánicos». Cellulose 2 (1): 1-22. ISSN 0969-0239. doi:10.1007/BF00812768. 
  4. Crawford, R. L. (1981). Lignin biodegradation and transformation. Nueva York: John Wiley and Sons. ISBN 0-471-05743-6. 
  5. Payen, A. (1838) "Mémoire sur la composition du tissu propre des plantes et du ligneux" (Memoir on the composition of the tissue of plants and of woody [material]), Comptes rendus, vol. 7, pp. 1052-1056. Payen added appendices to this paper on December 24, 1838 (see: Comptes rendus, vol. 8, p. 169 (1839)) and on February 4, 1839 (see: Comptes rendus, vol. 9, p. 149 (1839)). «A committee of the French Academy of Sciences reviewed Payen's findings.» En : Jean-Baptiste Dumas (1839) Rapport sur un mémoire de M. Payen, relatif à la composition de la matière ligneuse (Report on a memoir of Mr. Payen, regarding the composition of woody matter), Comptes rendus, vol. 8, pp. 51-53. In this report, the word "cellulose" is coined and author points out the similarity between the empirical formula of cellulose and that of "dextrine" (starch). The above articles are reprinted in: Brongniart and Guillemin, eds., Annales des sciences naturelles ..., 2nd series, vol. 11 (Paris, France: Crochard et Cie., 1839), pp. 21-31.
  6. Young, Raymond (1986). Cellulose structure modification and hydrolysis. Nueva York: Wiley. ISBN 0-471-82761-4. 
  7. Kobayashi, Shiro; Kashiwa, Keita; Shimada, Junji; Kawasaki, Tatsuya; Shoda, Shin-ichiro (1992). «Enzymatic polymerization: The first in vitro synthesis of cellulose via nonbiosynthetic path catalyzed by cellulase». Makromolekulare Chemie. Macromolecular Symposia. 54-55 (1): 509-518. doi:10.1002/masy.19920540138. 
  8. Festucci-Buselli, Reginaldo A.; Otoni, Wagner C.; Joshi, Chandrashekhar P. (2007-03). «Structure, organization, and functions of cellulose synthase complexes in higher plants». Brazilian Journal of Plant Physiology (en inglés) 19: 1-13. ISSN 1677-9452. doi:10.1590/S1677-04202007000100001. Consultado el 10 de marzo de 2024. .
  9. Norbert Latruffe; Françoise Bleicher-Bardeletti; Bertrand Duclos; Joseph Vamecq (2017). Biochimie (en francés). Dunod. p. 87. 
  10. Ioelovich, Michael (30 de octubre de 2008). «Cellulose as a nanostructured polymer: A short review (Celulosa como polímero nanoestructurado: una breve reseña)» (pdf). BioResources (en inglés) 3 (4): 1403-1418. doi:10.15376/biores.3.4.Ioelovich. Consultado el 10 de marzo de 2024. 
  11. Geissman, T. A. (1 de enero de 1973). Principios de química orgánica. Reverte. ISBN 9788429171808. Consultado el 3 de febrero de 2017. 
  12. Giannini, Cristina; Roani, Roberta (15 de marzo de 2008). Diccionario de restauración y diagnóstico. Editorial NEREA. ISBN 9788496431010. Consultado el 3 de febrero de 2017. 
  13. Bacteriología general: Principios y prácticas de laboratorio. Editorial Universidad de Costa Rica. 1 de enero de 2005. ISBN 9789977679808. Consultado el 3 de febrero de 2017. 
  14. Dickerson, Richard E. (1 de enero de 1993). Principios de química. Reverte. ISBN 9788429171754. Consultado el 3 de febrero de 2017. 
  15. «Comisión Europea: CORDIS: Noticias y Eventos: El genoma de un hongo abre nuevos caminos para la siguiente generación de biocombustibles». cordis.europa.eu. Consultado el 3 de febrero de 2017. 
  16. Sayago, Uriel Fernando Carreño (2021-12). «Design and development of a biotreatment of E. crassipes for the decontamination of water with Chromium (VI)». Scientific Reports (en inglés) 11 (1): 9326. ISSN 2045-2322. PMC 8084927. PMID 33927230. doi:10.1038/s41598-021-88261-0. Consultado el 21 de septiembre de 2021. 
  17. Sayago, Carreño; Fernando, Uriel (23 de abril de 2021). “Buchón de agua” (Eichhornia Crassipes): impulsor de la fitorremediación. Consultado el 21 de septiembre de 2021.