Bremelanótido
El bremelanótido (anteriormente conocida como PT-141) es un compuesto bajo desarrollo farmacológico por la empresa Palatin Technologies como un posible tratamiento para la disfunción sexual femenina (DSF), choque hipovolémico e injuria por reperfusión. Funciona activando los receptores de melanocortina MC1R y MC4R, para modular la inflamación y limitar la isquemia.[3] Originalmente fue probado como un fármaco de administración intranasal para el tratamiento del desorden sexual femenino pero esta aplicación fue temporalmente discontinuada en 2008 luego de que surgieran preocupaciones en cuanto a sus posibles efectos aumentando la presión sanguínea. Para marzo de 2012 Palatin estuvo conduciendo sus estudios en fase 2B de aplicación en humanos,[4] utilizando un nuevo sistema de administración subcutánea que parece tener un muy pequeño efecto sobre la presión sanguínea.
Desarrollo
El bremelanótido fue desarrollada a partir de la hormona peptídica melanotán II la cual se encontraba en etapas de prueba como agente bronceante. En las pruebas iniciales, el melanotán II indujo el bronceado, pero también provocó excitación sexual y erecciones espontáneas como efecto secundario inesperado en nueve de los diez voluntarios masculinos originales sometidos a la prueba.[5]
Palatin completó el tratamiento de pacientes en su ronda de pruebas clínicas en fase 2B con mujeres premenopáusicas que padecían DSF. Los anuncios de datos primarios y resultados por sobre la media fueron anticipados en la primera parte del último cuarto del año calendario de 2012.[6]
En estudios, el bremelanótido ha demostrado inducir el comportamiento de presentación en modelos animales[7] y fue también efectivo en el tratamiento de la disfunción sexual tanto en hombres (disfunción eréctil o impotencia) como en mujeres (trastorno de excitación sexual). A diferencia del Sildenafil y otras medicaciones relacionadas, el bremelanótido no actúa sobre el sistema vascular, sino que directamente aumenta la libido actúando sobre el sistema nervioso.[8]
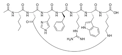
Estructura
El bremelanótido es un heptapéptido cíclico lactámico, análogo de la hormona melanocito estimulante alfa (alfa-MSH) que activa los receptores de melanocortina MC3-R y MC4-R en el sistema nervioso central. Posee la siguiente secuencia de aminoácidos Ac-Nle-ciclo[Asp-His-D-Phe-Arg-Trp-Lys]-OH o ciclo-[Nle4, Asp5, D-Phe7, Lys10]alfa-MSH-(4-10). Es un metabolito del Melanotán II que carece del grupo funcional amido terminal.
Véase también
- Flibanserina
- Intrinsa
- Melanotán II
- PF-00446687
- Hormona melanocito estimulante (MSH)
- BMS-470,539
Referencias
- ↑ Número CAS
- ↑ King SH, Mayorov AV, Balse-Srinivasan P, Hruby VJ, Vanderah TW, Wessells H (2007). «Melanocortin receptors, melanotropic peptides and penile erection». Current Topics in Medicinal Chemistry 7 (11): 1098-1106. PMC 2694735. PMID 17584130. Archivado desde el original el 12 de enero de 2015.
- ↑ Bremelanotide for Organ Protection and Related Indications Archivado el 3 de febrero de 2009 en Wayback Machine., Palatin Technologies fact sheet. Retrieved on 2009-01-18.
- ↑ «Palatin Technologies Completes Enrollment in Phase 2B Bremelanotide Female Sexual Dysfunction Trial». The Bradenton Herald. Archivado desde el original el 9 de marzo de 2012. Consultado el 8 de marzo de 2012.
- ↑ «Tanning drug may find new life as Viagra alternative». CNN. 1999. Consultado el 16 de septiembre de 2007.
- ↑ «Q3 2012 Palatin Earnings». Palatin Technologies. Consultado el 11 de septiembre de 2012. (enlace roto disponible en Internet Archive; véase el historial, la primera versión y la última).
- ↑ Pfaus JG, Shadiack A, Van Soest T, Tse M, Molinoff P (julio de 2004). «Selective facilitation of sexual solicitation in the female rat by a melanocortin receptor agonist». Proc. Natl. Acad. Sci. U.S.A. 101 (27): 10201-4. PMC 454387. PMID 15226502. doi:10.1073/pnas.0400491101.
- ↑ Vicki Mabrey (2006). «ABC News "The Business of Desire - Love Potion"». ABC News. Consultado el 24 de enero de 2009.
Enlaces externos
- Palatin Technologies La compañía que desarrolló el bremelanótido.
- Patente USPTO n.º 6794489: «US 6,794,489» bremelanotide (PT-141) patent (Appl. No.:040547)
- US 6,579,968 bremelanotide (PT-141) patent (Appl. No.:066501)
- Bremelanotide Edguider Forum

