Azul de bromotimol
| Azul de bromotimol | ||
|---|---|---|
![]() | ||
![]() | ||
| General | ||
| Fórmula estructural |
![]() | |
| Fórmula molecular | C27H28Br2O5S | |
| Identificadores | ||
| Número CAS | 76-59-5[1] | |
| ChEBI | 86155 | |
| ChEMBL | CHEMBL3392578 | |
| ChemSpider | 6208 | |
| PubChem | 6450 | |
| UNII | VGU4LM0H96 | |
|
CC1=C(C(=C(C=C1C2(C3=CC=CC=C3S(=O)(=O)O2)C4=CC(=C(C(=C4C)Br)O)C(C)C)C(C)C)O)Br
| ||
| Propiedades físicas | ||
| Masa molar | 622,002419196 g/mol | |
| Propiedades químicas | ||
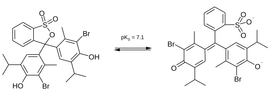
| Acidez | 7,10 pKa | |
| Compuestos relacionados | ||
El azul de bromotimol (BTB, a partir de su nombre en idioma inglés bromothymol blue) es un indicador de pH que en solución ácida presenta un color amarillo, en solución básica presenta un azul y en solución neutra presenta un color verde.
El azul de bromotimol actúa como un ácido débil en solución. Por lo tanto puede presentarse en su forma protonada o deprotonada, amarilla y azul, respectivamente.
Normalmente, se vende en forma de sólido como sal de sodio del indicador ácido.
Su pKa es 7.10.
Es levemente soluble en agua, soluble en alcohol y en soluciones acuosas de bases. También es soluble en éter etílico. Es menos soluble en benceno, tolueno y xileno. Praticamente insoluble en éter de petróleo.
Usos
Es un indicador adecuado para determinaciones de ácidos y bases débiles, preferentemente en pH próximo de 7.
Una de sus aplicaciones típicas como indicador es la determinación de pH de acuarios, tanques de peces y aguas de criaderos y de mares.
También se usa para la observación de actividad fotosintéticas o para indicar respiración, pues se vuelve amarillo en presencia de CO2, así como también en presencia de ácido carbónico disuelto en agua, oriundo da disolución del CO2.[2][3]
Ocasionalmente también se emplea en laboratorios como un colorante biológico para microscopía en láminas. En este uso es normalmente azul, y una gota o dos de su solución son usadas en una lámina con agua. La laminula es colocada sobre la parte superior de la gota de agua y el espécimen, con el colorante mezclado. Es algunas veces usado para definir paredes celulares o núcleos sobre el microscopio.
Esta aplicación como colorante microscopio encuentra uso en la determinación de fosfatidilcolina en líquido amniótico con la predicción de la síndrome de angustia respiratoria.[4]
Es usado en obstetricia para la detección de rompimiento prematuro de membranas. El líquido amniótico generalmente tiene un pH> 7,2 , por lo tanto el azul de bromotimol, se vuelve azul cuando entra en contacto con la fuga de fluido a partir del amnio. Como el pH vaginal normalmente es ácido, su color azul indica a presencia de líquido amniótico. El ensayo puede ser falso-positivo en presencia de otras sustancias alcalinas, tales como sangre, semen, o en presencia de vaginosis bacteriana.[5]
La razón de área de esfingomielina, determinada con la ayuda del azul de bromotimol permite la determinación de lecitina en líquido amniótico, relacionada con gestaciones complicadas por la diabetes.[6]
Colores del indicador


| Azul de bromotimol (indicador de pH) | ||
| pH por debajo de 6.6 listo | pH por encima de 7.6 | |
| amarillo | ⇌ | azul |
Preparación de la solución del indicador
Solución acuosa a 0,4%
Esta solución es de la sal sódica del indicador para uso en titulaciones y determinación colorimétrica de pH.
Se tritura en un vaso mortero limpio 0,4 g del indicador con 6,4 ml de solución de hidróxido de sodio a 0,1 M (4 g por litro). Se diluye esta mezcla en 1 litro con agua desionizada o destilada.[7]
Otras formulaciones recomendadas incluyen disolución de 0,10 g en 8,0 mL de NaOH N/50 (0,8 g por litro) y dilución con agua a 250 mL, para uso como indicador de pH, y solución para uso como indicador en trabajo volumétrico, disolviendo 0,1 g en 100 mL de etanol 50% (v/v).[8]
Referencias
- ↑ Número CAS
- ↑ Sabnis R. W. (2007). Handbook of Acid-Base Indicators. CRC Press. ISBN 0849382181.
- ↑ Sabnis R. W. (2010). Handbook of Biological Dyes and Stains: Synthesis and Industrial Applications (en inglés) (1st edición). Wiley. ISBN 0470407530.
- ↑ John Torday, Ph.D., Linda Carson, B.S., and Edward E. Lawson, M.D.; Saturated Phosphatidylcholine in Amniotic Fluid and Prediction of the Respiratory-Distress Syndrome; N Engl J Med 1979; 301:1013-1018.
- ↑ B. Martinez de Tejada, M. Boulvain, P. Dumps, P. Bischof, A. Meisser, O. Irion; Short communication: Can we improve the diagnosis of rupture of membranes? The value of insulin-like growth factor binding protein-1; BJOG: An International Journal of Obstetrics & Gynaecology, Volumen 113, Issue 9, páginas 1096–1099, Setiembre 2006 - DOI: 10.1111/j.1471-0528.2006.01028.x
- ↑ C. R. Whitfield, W. B. Sproule, M. Brudenell; THE AMNIOTIC FLUID LECITHIN : SPHINGOMYELIN AREA RATIO (LSAR) IN PREGNANCIES COMPLICATED BY DIABETES; BJOG: An International Journal of Obstetrics & Gynaecology, Volume 80, Issue 10, pages 918–922, October 1973 - DOI: 10.1111/j.1471-0528.1973.tb02152.x
- ↑ Mendham, J.; Denney, R.C.; Barnes, J.D. & Thomas, M.J.K. - Vogel: Análise Química Quantitativa. 4a. edición (Traduzido por Aïda Espinola, COPPE - UFRJ), Rio de Janeiro, Guanabara Dois (1981), 690pp
- ↑ O'Neil, Maryadele J (2006). The Merck Index (en inglés). Merck Research Laboratory. pp. 1445. ISBN 978-0-911910-00-1.
Véase también
- Azul de tornasol
Enlaces externos
- J.T.Baker MSDS (en inglés)
- Bromothymol Blue (Sodium Salt) -Sigma Aldrich (en inglés)
Portal:Química. Contenido relacionado con Química.


