August Kekulé
Friedrich August Kekulé von Stradonitz, conocido también sencillamente como August Kekulé o castellanizado como Augusto Kekulé[1] (Darmstadt, Alemania, 7 de septiembre de 1829 - Bonn, 13 de julio de 1896) fue un químico orgánico alemán.[2] Fue considerado uno de los más prominentes químicos orgánicos europeos desde la década de 1850 hasta su muerte, especialmente en el campo teórico, ya que es considerado uno de los principales fundadores de la Teoría de la Estructura Química.
También es muy conocida la manera en la que descubrió la estructura en anillo del benceno, tras una visión en sueños de una serpiente mordiéndose la cola.
Infancia y juventud
Kekulé nació en Darmstadt,[2] descendiente de la línea checa de una familia de la aristocracia bohemia. Su padre era funcionario y criaba rosas. En su juventud, sus aficiones eran la botánica, coleccionar mariposas y dibujar. Sus amigos lo describían como alguien que aprovechaba cualquier ocasión para debatir y con gran sentido del humor. Comenzó sus estudios en el Instituto Ludwig George, en Darmstadt, y era un buen alumno con un don para los idiomas (aprendió francés, italiano e inglés, además del alemán). En sus calificaciones, sus profesores destacaban sus habilidades experimentales, su activo interés y su diligencia. Aunque fue un joven débil físicamente, acabó desarrollando una gran actividad deportiva hasta su graduación en 1847. Puesto que era buen delineante y su padre era amigo de famosos arquitectos,[cita requerida] se matriculó en la Universidad de Gießen con la intención de estudiar Arquitectura.[2] Después de acudir a unas conferencias de Justus von Liebig, decidió estudiar Química. Continuó sus estudios en Gießen y disfrutó de becas post - doctorales en París (1851 - 1852, donde fue alumno de Jean Baptiste Dumas y de Charles Frédéric Gerhardt), en Chur (Suiza, 1852 - 1853, donde fue asistente junto con Adolph von Planta) y en Londres (1853 - 1855, donde fue influido de forma definitiva por Alexander Williamson). Obtuvo su doctorado en 1852, bajo la tutela de Justus von Liebig.
Carrera
Su fase creativa comenzó entre 1854 y 1855 cuando trabajó de asistente de John Stenhouse en el Hospital de San Bartolomé en Londres. En 1856, Kekulé se convirtió en Privatdozent (aspirante a profesor universitario) en la Universidad de Heidelberg. En esta época tuvo acalorados debates con Adolf von Baeyer.[cita requerida] En 1858, fue contratado como profesor titular en la Universidad de Gante, y en 1867 recibió una oferta de la Universidad de Bonn, donde permaneció durante el resto de su carrera.[2] Kekulé rechazó una oferta de la Universidad de Múnich como sucesor de Liebig. Basando sus ideas en las de sus predecesores como Williamson, Edward Frankland, William Odling, Charles Adolphe Wurtz y otros, Kekulé fue el principal impulsor de la teoría de la estructura química (1857 - 1858). Esta teoría procede de la idea de la valencia atómica, especialmente la tetravalencia del carbono (que Kekulé estableció más tarde en 1857) y de la capacidad de los átomos de carbono para enlazarse entre sí (establecida por Kekulé en mayo de 1858), para la determinación del orden de enlace de todos entre todos los átomos de una molécula. Archibald Scott Couper, de manera independiente, llegó a la idea de la capacidad de auto - enlace de los átomos de carbono (su trabajo apareció en junio de 1858), y empleó las primeras fórmulas moleculares en las que las líneas simbolizaban los enlaces que conectan los átomos.
Para los químicos orgánicos, la teoría de la estructura química supuso una dramática nueva claridad para el entendimiento y una guía formal para el trabajo analítico y sintético. Como consecuencia de esto, el campo de la Química Orgánica se desarrolló de forma explosiva a partir de este punto. Entre aquellos que fueron más activos en la investigación estructural se encontraban (aparte de Kekulé), Edward Frankland, Charles Adolphe Wurtz, Alexander Crum Brown, Emil Erlenmeyer, y Aleksandr Bútlerov.
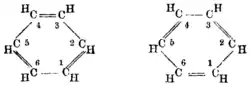
El trabajo más conocido de Kekulé se centró en la estructura del benceno. En 1865, Kekulé publicó un artículo en francés (aún se encontraba viviendo en la Bélgica francófona) en el que sugería que la estructura contiene un anillo de átomos de carbono de seis miembros con enlaces simples y dobles alternados. Al año siguiente, publicó un artículo mucho más extenso en alemán sobre el mismo tema.[3] La fórmula empírica para el benceno se conocía desde hace tiempo, sin embargo, su estructura altamente insaturada estaba aún tratándose de determinar. Archibald Scott Couper en 1858, y Joseph Loschmidt en 1861, sugirieron posibles estructuras que contenían múltiples enlaces dobles o múltiples anillos, pero el estudio de compuestos aromáticos se encontraba en sus primerísimos años, y aún existían muy pocas evidencias que ayudaran a los químicos a decidirse por alguna estructura en particular.
.png)
Kekulé se sirvió de evidencias que había acumulado en aquellos años para argumentar en favor de su estructura propuesta. Siempre parecía existir un solo isómero en los monoderivados del benceno y, exactamente, tres isómeros en los diderivados. El anillo simétrico de Kekulé parecía explicar estos curiosos hechos.

El nuevo entendimiento sobre el benceno y por extensión, de todos los compuestos aromáticos, resultó ser tan importante tanto para la química pura como para la química aplicada, que en 1890 la Sociedad Química Alemana organizó una elaborada ceremonia en honor de Kekulé, celebrando el vigesimoquinto aniversario de su primer artículo sobre el benceno. En ella, Kekulé habló sobre la creación de su teoría. Dijo que había descubierto la forma del anillo de benceno después de tener una ensoñación sobre una serpiente que se mordía la cola (esto es un símbolo habitual en muchas culturas ancestrales, conocido como Ouroboros). Esta visión -comentó- le vino después de años de estudio sobre la naturaleza de los enlaces carbono - carbono. Es curioso que una descripción similar del benceno apareció en 1886 en el "Berichte der Durstigen Chemischen Gesellschaft" (Revista de la Sedienta Sociedad Química), una parodia de la "Berichte der Deutschen Chemischen Gesellschaft" (Revista de la Sociedad Química Alemana). La descripción aquí aparecida consistía en seis monos agarrados unos a otros formando una circunferencia, a modo de la serpiente de la anécdota de Kekulé.[4] Algunos historiadores sugieren que esa parodia era una sátira de la anécdota de la serpiente, posiblemente ya muy conocida por transmisión oral a pesar de no haber aparecido aún en papel impreso.[5] Otros han especulado sobre si la historia de Kekulé de 1890 fue una re - parodia sobre la de los monos, y no era más que una mera invención, más que una referencia real a un evento de su vida.
El discurso de Kekulé de 1890 en el cual aparecían esas anécdotas,[6] fue traducido al inglés;[7] si uno toma la anécdota como el recuerdo de un evento real, las circunstancias mencionadas en la historia sugieren que debió ocurrir a principios de 1862.[8] La otra anécdota que contó en 1890, sobre una visión de atómos y moléculas danzarinas que le condujo a su Teoría de la Estructura, ocurrió (dijo él) mientras estaba montado en la parte superior de un carro de tracción animal en Londres. Si esto es cierto, debió ocurrir en 1855.
Honores
- En 1895, Kekulé fue ennoblecido por el Kaiser Guillermo II de Alemania, dándole el derecho a añadir "von Stradonitz" a su nombre, en referencia a una antigua posesión de su familia en Stradonice, Bohemia. De los cinco primeros premios Nobel en Química que se concedieron, tres fueron ganados por estudiantes suyos.
- El cráter lunar Kekulé lleva este nombre en su memoria.
- El asteroide (13254) Kekulé también conmemora su nombre.
Véase también
Enlaces externos
Wikimedia Commons alberga una categoría multimedia sobre August Kekulé.- Kekulé: un científico y un inglés (enlace roto disponible en Internet Archive; véase el historial, la primera versión y la última).
Referencias
- ↑ Macy, Rudolph (2005). «El anillo bencénico». Organic Chemistry Simplified [Química orgánica simplificada]. Ricardo Granados Jarque y Enrique Meléndez Andreu (traductores). Madrid: Reverté. p. 186. ISBN 84-291-7331-5. OCLC 824825185.
- ↑ a b c d «Kekule von Stradonitz, (Friedrich) August». Encyclopaedia Britannica 2013. Ultimate edition (DVD-ROM, versión en línea: https://www.britannica.com/biography/August-Kekule-von-Stradonitz) (en inglés). 2012. OCLC 833300891.
- ↑ Kekulé, "Sur la constitution des substances aromatiques," Bulletin de la Societe Chimique de Paris,[2] 3 (January 1865), 98-110; "Untersuchungen über Aromatische Verbindungen," Liebigs Annalen der Chemie, 137 (1866), 129-36.
- ↑ Traducido al inglés por D. Wilcox y F. Greenbaum, Journal of Chemical Education, 42 (1965), 266-67.
- ↑ A. J. Rocke, "Hypothesis and Experiment in Kekulé's Benzene Theory," Annals of Science, 42 (1985), 355-81.
- ↑ Kekulé, "Benzolfest: Rede," Berichte der Deutschen Chemischen Gesellschaft, 23 (1890), 1302-11.
- ↑ O. T. Benfey, "August Kekulé and the Birth of the Structural Theory of Organic Chemistry in 1858," Journal of Chemical Education, 35 (1958), 21-23
- ↑ Jean Gillis, "Auguste Kekulé et son oeuvre, realisee a Gand de 1858 a 1867," Memoires de l'Academie Royale de Belgique, 37:1 (1866), 1-40.
