Anagrelida
| Anagrelida | ||
|---|---|---|
![]() | ||
| Nombre (IUPAC) sistemático | ||
| 6,7-dicloro-5,10-dihidro-3H-imidazo [2,1-b] quinazolin-2-ona | ||
| Identificadores | ||
| Número CAS | 68475-42-3 | |
| Código ATC | L01XX35 | |
| PubChem | 2182 | |
| DrugBank | DB00261 | |
| Datos químicos | ||
| Fórmula | C10H7N3Cl2O | |
| Peso mol. | 256.086 g/mol | |
|
Clc1ccc3c(c1Cl)CN2/C(=N\C(=O)C2)N3
| ||
| Datos clínicos | ||
| Uso en lactancia | Moderadamente seguro. Usar solo si el beneficio potencial justifica el riesgo potencial para el bebé. (en todos los países) | |
| Cat. embarazo | No hay estudios en humanos. El fármaco solo debe utilizarse cuando los beneficios potenciales justifican los posibles riesgos para el feto. Queda a criterio del médico tratante. (EUA) | |
| Estado legal | Grupo IV (Medicamentos expedidos mediante receta médica, autorizados para su venta exclusivamente en farmacias.) (MEX) | |
La anagrelida (Agrylin / Xagrid, Shire y Thromboreductin, AOP Orphan Pharmaceuticals AG) es un fármaco derivado de las quinazolinas usado en el tratamiento de la trombocitosis esencial (TE) o sobreproducción de plaquetas sanguíneas. También se ha utilizado en el tratamiento de la leucemia mieloide crónica.
La liberación controlada de anagrelida (GALE-401) se encuentra en ensayos clínicos de fase III por el laboratorio Galena Biopharma para el tratamiento de ET.[1]
Usos médicos
La anagrelida se utiliza para tratar la trombocitosis esencial, especialmente cuando el tratamiento actual del paciente es insuficiente. Los pacientes con trombocitosis esenciales que son adecuados para ser tratados con anagrelida a menudo cumplen uno o más de los siguientes factores[2][3]
- Mayores de 60 años
- Recuento de plaquetas mayor de 1000 × 109 / L
- Un historial de trombosis
Según un estudio clínico aleatorio del 2005 del Consejo de Investigación Médica, la combinación de hidroxiurea con aspirina es superior a la combinación de anagrelida y aspirina para el tratamiento inicial de ET. La sección que tomó hidroxiurea tuvo menor probabilidad de mielofibrosis, trombosis arterial y sangrado, pero tenía una tasa ligeramente superior de trombosis venosa. La anagrelida puede ser útil cuando la hidroxiurea resulta ineficaz.
Reacciones adversas
Las reacciones adversas comunes son: dolor de cabeza, diarrea, debilidad inusual/fatiga, pérdida de cabello, náusea y mareo.
El mismo ensayo MRC mencionado anteriormente también analizó los efectos de la anagrelida sobre la fibrosis de la médula ósea, una característica común en pacientes con mielofibrosis. El uso de anagrelida se asoció con un rápido aumento en el grado de deposición de reticulina (el mecanismo por el cual se produce la fibrosis), en comparación con aquellos en los que se utilizó hidroxiurea. Se sabe que los pacientes con afecciones mieloproliferativas tienen un curso muy lento y algo variable de aumento de la fibrosis de la médula. Esta tendencia puede ser acelerada por la anagrelida. Curiosamente, este aumento de la fibrosis parecía estar vinculado a una disminución de la hemoglobina a medida que progresaba. Afortunadamente, dejar de tomar el fármaco (y cambiar a los pacientes a hidroxiurea) pareció revertir el grado de fibrosis de la médula. Por lo tanto, los pacientes con anagrelida pueden necesitar monitoreo periódico para los valores de reticulina medular, especialmente si se desarrolla anemia, o se vuelve más pronunciada si estaba presente inicialmente.
Los efectos secundarios menos comunes incluyen: insuficiencia cardiaca congestiva, infarto de miocardio, cardiomiopatía, cardiomegalia, bloqueo cardíaco completo, fibrilación auricular, accidente cerebrovascular, pericarditis, infiltración pulmonar, fibrosis pulmonar, hipertensión pulmonar, pancreatitis, úlcera gástrica/duodenal e insuficiencia renal.
Debido a estos problemas, la anagrelida no debe ser considerada generalmente para el tratamiento de primera línea en ET.
Mecanismo de acción
La anagrelida actúa inhibiendo la maduración de plaquetas desde los megacariocitos. El mecanismo exacto de acción no está claro, aunque se sabe que es un inhibidor de la fosfodiesterasa. Es un inhibidor potente (IC50 = 36 nM) de fosfodiesterasa PDE-2. Inhibe la PDE-3 y la fosfolipasa A2.[4]
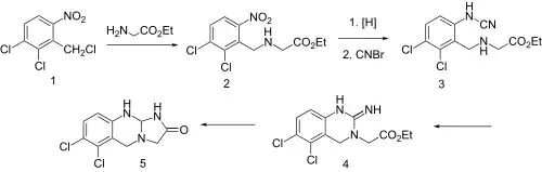
Síntesis
Inhibidor de la fosfodiesterasa con actividad antiplaquetaria.
| Síntesis 1[5][6] | Síntesis 2 |
|---|---|
![]() |
|
La condensación del cloruro de bencilo 1 con éster etílico de glicina da el producto alquilado 2. La reducción del grupo nitro conduce a la anilina y la reacción de ésta con el bromuro de cianógeno da posiblemente la cianamida 3 como el intermedio inicial. La adición del alifático conduciría entonces a la formación del anillo de quinazolina (4). La formación de amida entre la imida recién formada y el éster serviría entonces para formar el anillo de imidazolona, cualesquiera que sean los detalles de la secuencia, se obtiene anagrelida (5).
Referencias
- ↑ «https://globenewswire.com».
- ↑ «Anagrelide for the treatment of essential thrombocythemia: a survey among European hematologists/oncologists». Hematology 14 (1): 1-10. 1 de febrero de 2009. PMID 19154658. doi:10.1179/102453309X385115.
- ↑ «Essential thrombocythemia». Orphanet Journal of Rare Diseases 2 (1): 3. 1 de enero de 2007. PMC 1781427. PMID 17210076. doi:10.1186/1750-1172-2-3.
- ↑ «3». Guideline for investigation and management of adults and children presenting with a thrombocytosis 149. mayo de 2010. pp. 352-75. PMID 20331456. doi:10.1111/j.1365-2141.2010.08122.x.
- ↑ W. N. Beverung, A. Partyka, Patente USPTO n.º 3932407; USRE 31617; T. A. Jenks et al., (1976, 1984, 1979 all to Bristol-Myers).
- ↑ Yamaguchi, Hitoshi; Ishikawa, Fumiyoshi (1981). «Synthesis and reactions of 2-chloro-3,4-dihydrothienopyrimidines and -quinazolines». Journal of Heterocyclic Chemistry 18: 67. doi:10.1002/jhet.5570180114.
Enlaces externos
- En Epistemoikos hay más información sobre Anagrelida.


