Adonis (planta)
| Adonis | ||
|---|---|---|
![]() | ||
| Taxonomía | ||
| Reino: | Plantae | |
| División: | Magnoliophyta | |
| Clase: | Magnoliopsida | |
| Subclase: | Magnoliidae | |
| Orden: | Ranunculales | |
| Familia: | Ranunculaceae | |
| Subfamilia: | Ranunculoideae | |
| Tribu: | Actaeeae | |
| Género: |
Adonis L., 1753 | |
| Especies | ||
| ||
Adonis es un género de plantas terrestres (no acuáticas) que contiene una cuarentena de especies en la familia de las ranunculáceas; nativas de Eurasia, donde se dan en forma silvestre, algunas especies se cultivan a efectos ornamentales por sus hermosas flores.
Descripción
Son plantas vivaces que pueden alcanzar hasta 40-50 cm.
Hojas multífidas, de segmentos más o menos lineares, repartidas a lo largo del tallo desde la base, profusamente pinnadas, algunas especies pubescentes y otras glabras.
Sus flores son terminales, solitarias. Las flores de Adonis tienen cinco sépalos y sus pétalos que pueden ser de cinco, ocho o múltiplos, pueden tener color amarillo, rojo, anaranjados. A diferencia del género ranunculo sin nectarios. Androceo con numerosos estambres de anteras negruzco-violáceas, esto le da un aspecto de ojo de perdiz al tener algunas especies una mancha oscura en la base. Algunas especies presentan espolón y otras no.
Los frutos, son aquenios, estos son una característica definitoria para diferenciar las distintas especies del género.
Aunque es un género muy variable su floración suele estar comprendida entre los meses de febrero y junio muy tardía en julio, en el Hemisferio Norte
Fitoquímica
Se han identificado más de 120 compuestos químicos en varias especies de Adonis, siendo los más significativos los cardenólidos, flavonoides y glucósidos fenólicos.
Perfil lipídico
Mohadjerani et al. [1] analizaron la composición de ácidos grasos de A. volgensis, identificando al ácido α-linolénico (45.83%) como el ácido graso predominante en las hojas y el ácido oleico (47.54%) como el ácido graso primario en los tallos. Otros ácidos grasos clave incluyen el ácido palmítico (28.25% en hojas y 33,10% en tallos) y el ácido linoleico (12.55% en hojas, 11.26% en tallos).
Pigmentos florales
El color rojo sangre, que bordea el negro en la base, que muestran los pétalos de las flores de A. aestivalis y A. annua resulta de la acumulación de pigmentos carotenoides tipo xantofila, predominantemente la astaxantina (3,3′-dihidroxi-4,4′-diceto- β , β -caroteno) con cantidades menores de 3-hidroxiequinenona (3-hidroxi-4-ceto-β,β-caroteno) y otros dos cetocarotenoides que son pigmentos característicos de estas especies: adonirrubina (3-hidroxi-4,4′-diceto- β , β -caroteno) y adonixantina (3,3′-dihidroxi-4-ceto-β,β-caroteno)[2].




Flavonoides
Se han reportado flavonoides de flores y/o hojas de Adonis del tipo O-glicosilflavonas, flavonol O-glucósidos y C-glicosilflavonas. Los flavonoides aislados de flores y hojas del complejo ‘’A. amurensis’’ no fueron los mismos. ‘’A. amurensis’’ se caracteriza por una mayor diversidad de flavonoides compuesta por una variedad de C-glicosilflavonas (orientina, isoorientina, adonivernitol, vitexina y lutexina), mientras que A. multiflora se caracterizó generalmente por un perfil reducido de flavonoides. Otros flavonoides reportados han sido luteolina, apigenina, kaempferol, e isoquercitrina. [3][4]
![]() |
![]() |
![]() |
| Vitexina | Orientina | Adonivernitol |
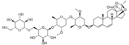
Saponinas y glucósidos cardiotónicos
Las saponinas más comunes son las de 18-norpregnano (tipo Fukujusonorona), pregnano (boucerina, caraumbelogenina, caralasigenina y fukujusona), ácido adonílico y 14,20-epoxipregn-5-en-18,20-ólido (Adonílido)[5][6]. La mayoría de estas saponinas son denominadas como estivalósidos (de A. aestivalis) y amurensiósidos (de A. amurensis).



![]() |
![]() |
![]() |
![]() |
| Caraumbelogenina | Fukujusona | Fukujusonorona | Caralasigenina |
![]() |
![]() |
![]() |
![]() |
| Lineolona | Ácido adonílico | Adonílido | Boucerina |
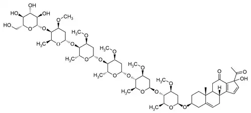
Los cardenólidos y sus glucósidos cardiotónicos característicos de Adonis son la adonitoxigenina y la adonitoxologenina. Otros cardenólidos son la urazigenina, estrofadogenina y epiperiplogenina[7][8].
![]() |
![]() |
![]() |
![]() |
![]() |
| Adonitoxigenina | Adonitoxologenina | Urazigenina | Estrofadogenina | Epiperiplogenina |
Usos
De acuerdo con Lange (1998, Europe's medicinal and aromatic plants: their use, trade and conservation) las poblaciones de las plantas de este género, están declinando en varios países europeos debido a la sobreexplotación para uso tanto ornamental como medicinal. El comercio internacional de estas especies está sometido a medidas de control dentro de la Unión Europea (incluida en el anexo D de la Regulación del Consejo n.º 338/97, requiriéndose una notificación particular de importación).
En España solamente están bajo protección estricta algunas poblaciones de la especie Adonis vernalis, en Cataluña (Decreto 328/1992, DOGC 1 de marzo de 1993). En cualquier caso, al no ser unas plantas abundantes en España, no deberían recogerse con fines comerciales.
La planta se utiliza en infusión, bajo prescripción médica, como cardiotónico y diurético. También tiene efectos calmantes sobre la tos rebelde, ataques de asma y dolores reumáticos.
Taxonomía
El género fue descrito por Carlos Linneo y publicado en Species Plantarum 1: 547. 1753.[9]
- Etimología
- Adonis: nombre genérico que según el Stearn's Dictionary of Plant Names la flor brotó de la sangre derramada de Adonis.[10]
Referencias
- ↑ Mohadjerani, M.; Tavakoli, R.; Hosseinzadeh, R. Fatty acid composition, antioxidant and antibacterial activities of Adonis wolgensis L. extract. Avicenna J. Phytomed. 2014, 4, 24–30
- ↑ Cunningham, F. X., Jr, & Gantt, E. (2005). A study in scarlet: enzymes of ketocarotenoid biosynthesis in the flowers of Adonis aestivalis: Adonis β-ring oxygenases. The Plant Journal: For Cell and Molecular Biology, 41(3), 478–492. https://doi.org/10.1111/j.1365-313X.2004.02309.x
- ↑ Chang, C., Jeon, J. I., Kim, H., & Lee, S. T. (2008). Flavonoids chemistry of the adonis amurensis complex in eastern Asia. Forest Science and Technology, 4(1), 5–13. https://doi.org/10.1080/21580103.2008.9656332
- ↑ Wagner, H. et al, Phytochemistry, 1975, 14, 1089-1091
- ↑ Sato, Y. et al, Chem. Pharm. Bull., 1971, 19, 202-205
- ↑ Shimizu, Y. et al, Lloydia, 1978, 41, 1-16
- ↑ Cardenolides from Adonis aestivalis. Brigitte Kopp, Liselotte Krenn, Erika Kubelkaqa, Wolfgang Kubelka (1992) Phytochemistry. V. 31, Issue 9, pp 3195-3198.
- ↑ Jung, J.-W. et al, Molecules, 2015, 20, 20823-20831
- ↑ «Adonis (planta)». Tropicos.org. Missouri Botanical Garden. Consultado el 28 de noviembre de 2013.
- ↑ En Nombre Botánicos
Bibliografía
- Bailey, L.H. & E.Z. Bailey. 1976. Hortus Third i–xiv, 1–1290. MacMillan, New York.
- Flora of North America Editorial Committee, e. 1997. Magnoliidae and Hamamelidae. Fl. N. Amer. 3: i–xxiii, 1–590.
- Nasir, E. & S. I. Ali (eds). 1980-2005. Fl. Pakistan Univ. of Karachi, Karachi.
- Devesa Alcaraz, Juan Antonio. Vegetación y flora de Extremadura, 1995 Aizpuru Oiarbide, Iñaki ; Aseginolaza Iparragirre, Karlos ; Uribe-Echebarría Díaz, Pedro María ; Urrutia Uriarte, Pello & Zorrakin Altube, Iñak
- iClaves ilustradas de la flora del País Vasco y territorios limítrofes..., 1999 Catalogue record Reprod. Facs.












.png)



