Acetiluro

El acetiluro, también llamado dicarburo o percarburo por su relación con el ion carburo, es un anión diatómico de fórmula C2-, que presenta un enlace triple carbono-carbono. Es el más simple de los alquinuros metálicos, esto es, un alquino para el que un hidrón terminal ha sido reemplazado por un metal como el sodio o litio.
Otros alquinuros metálicos
Todos los alquinos terminales pueden ser potencialmente transformados en alquinuros. Así, por ejemplo, el alquino CH3C≡CH podría ser deprotonado para formar el anión alquinuro CH3C≡C− (propinuro). Una vez deprotonado, se convierte en un nucleófilo fuerte. Algunos alquinuros, como el acetiluro de plata o el acetiluro de cobre, son explosivos.
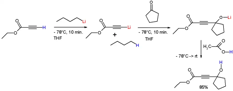
Los iones alquinuro son muy útiles en reacciones químicas orgánicas, en combinar cadenas de átomos de carbono, particularmente en reacciones de adición y sustituciones. Un tipo de reacción exhibida por los alquinuros es la reacción de adición con cetonas para formar alcoholes terciarios. En la reacción en el esquema 1, el hidrón del alquino del propiolato de etilo es deprotonado por el n-butillitio a -78 °C, para formar el etilpropiolato de litio, al que se le agrega la ciclopentanona, formando un alcóxido de litio. El ácido acético es agregado para eliminar el litio y liberar el alcohol libre.[1]
Las reacciones de acoplamiento de alquinos, como el Acoplamiento de Sonogashira, el Acoplamiento de Cadiot-Chodkiewicz, el Acoplamiento de Glaser y el Acoplamiento de Eglinton suelen tener alquinuros metálicos como intermedios.
Se conocen algunas modificaciones de la reacción con carbonilos:
- En la síntesis de Arens-van Dorp, el compuesto etoxiacetileno[2] es convertido en un reactivo de Grignard y hecho reaccionar con una cetona, el producto de la reacción es un alcohol propargílico.[3]
- En la modificación de Isler, el etoxiacetileno es reemplazado por β-clorovinil éter y amida de litio.
- En la síntesis de Favorskii-Babayan, las cetonas y compuestos acetilénicos reaccionan en presencia de álcalis.[4]
La formación de alquinuros implica un riesgo en la manipulación de acetileno gaseoso en presencia de metales como el mercurio, plata, o cobre, o aleaciones con alto contenido de ellos (bronce, soldadura de plata).
Referencias
- ↑ Synthesis of alkyl 4-hydroxy-2-alkynoates M. Mark Midland, Alfonso Tramontano, John R. Cable J. Org. Chem.; 1980; 45(1); 28-29. Abstract
- ↑ Organic Syntheses, Coll. Vol. 4, p.404 (1963); Vol. 34, p.46 (1954). Vínculo
- ↑ van Dorp and Arens, Nature, 160, 189 (1947).
- ↑ Favorskii-Babayan Synthesis
