Melanina
La melanina es un pigmento que se halla en la mayor parte de los seres vivos. En los animales el pigmento deriva del aminoácido tirosina. La forma más común de melanina es la eumelanina, un polímero negro-marrón de ácidos carboxílicos de dihidroxiindol y sus formas reducidas.

Existen cinco tipos básicos de melanina: eumelanina, feomelanina, neuromelanina, alomelanina y piomelanina.[1]
Biosíntesis
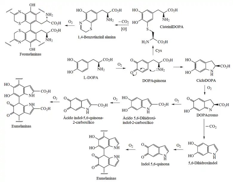
El proceso de formación de la melanina se denomina melanogénesis y se produce en el estrato más profundo de la epidermis (estrato basal) y en las células de la matriz del folículo pilosebáceo. La producción de melanina se ve estimulada por la incidencia sobre el ADN de la radiación ultravioleta.[2] Las propiedades químicas de la melanina hacen de ella un fotoprotector muy eficiente. Absorbe la radiación ultravioleta nociva y transforma la energía en calor, que resulta inofensivo, a través de un proceso llamado «conversión interna ultrarrápida». Esta propiedad permite a la melanina disipar en forma de calor más del 99,9% de la radiación absorbida.[3] Esto evita el posible daño al ADN.

En los seres humanos
En los seres humanos, la melanina se encuentra en la piel, el pelo, el epitelio pigmentado que rodea la retina, la médula espinal y la zona reticular de la glándula suprarrenal, en la estría vascularis del oído interno y en ciertas zonas profundas del núcleo del cerebro, como el locus coeruleus y la substantia nigra. La melanina es determinante en el color de la piel humana; en efecto, si una persona se broncea por causa del Sol, ese bronceado es temporal pues con el tiempo la célula pierde la capa que la rodea (melanina bronceada) y la persona recupera su tono de piel habitual.[cita requerida]
La melanina dérmica se produce en los melanocitos. Estos raramente se encuentran en las capas superficiales de la epidermis. Sin embargo, aunque generalmente todos los seres humanos poseen concentraciones similares de melanocitos en la piel, se producen variaciones en algunos individuos y según los diferentes grupos étnicos. En este último caso, la genética interviene confiriendo una mayor o menor concentración de melanina en la piel. Algunos individuos carecen de melanina, o bien tienen concentraciones mínimas de ella, lo que produce la condición conocida como albinismo, que puede darse tanto en los seres humanos como en otros animales.[cita requerida]
La melanina es un polímero irregular de moléculas pequeñas, y existen muchos tipos de melanina. Tanto la feomelanina como la eumelanina pueden encontrarse en la piel y en el cabello humanos, pero la eumelanina es la más abundante. También es la que más frecuentemente muestra deficiencias en el albinismo, aunque también hay albinismos por falta de feomelanina o de ambas.[cita requerida]
Se piensa que la eumelanina es el principal agente protector para numerosas formas de vida frente a la radiación ultravioleta, pero estudios recientes sugieren que este polímero podría tener distintas funciones para cada organismo. Por ejemplo, la inmunidad innata de los invertebrados frente a los patógenos invasores depende principalmente de la melanina: tan solo unos minutos tras la infección, el microbio es encapsulado en melanina (melanización); los radicales libres generados después de la formación de esta cápsula ayudan a su eliminación.[cita requerida]
En los polímeros de melanina es común encontrar numerosos enlaces cruzados: 5,6-dihidroxiindol (DHI) y ácido 5,6-dihidroxiindol-2-carboxílico (DHICA); se ha descubierto esto en investigaciones sobre las propiedades eléctricas de la eumelanina. Sin embargo, esto indica que tal vez exista otro mecanismo que implique a oligómeros básicos que se adhieren unos a otros.[cita requerida]
La eumelanina se encuentra en la piel, en el iris y en el cabello, y su concentración da la coloración al cabello gris, negro, rubio y castaño. En los seres humanos, es abundante en las personas de piel oscura. Existen dos tipos de eumelanina que se distinguen el uno del otro por diferentes enlaces químicos. Estos son la eumelanina marrón y la eumelanina negra.[cita requerida]
La feomelanina produce una tonalidad rosa a roja y se encuentra en grandes cantidades en el cabello rojo. La feomelanina se encuentra particularmente en los labios, en los pezones, en el glande y en la vagina.[cita requerida]
Los tricocromos (antes denominados tricosiderinas) son pigmentos producidos por la misma ruta metabólica que la eumelanina y la feomelanina pero, a diferencia de ellas, tienen bajo peso molecular. Se encuentran en algunas formas de cabello pelirrojo.[4]
La neuromelanina es el pigmento oscuro presente en las neuronas que recubren cuatro núcleos del cerebro: la pars compacta de la substantia nigra (en latín, «substancia negra»), el locus coeruleus (o «punto azul»), el núcleo dorsal motor del nervio vago (nervio craneal X) y la parte media del núcleo del puente de Varolio. Tanto la sustancia negra como el locus coeruleus pueden identificarse fácilmente en una autopsia, debido a su pigmentación oscura; en los seres humanos, este núcleo no se encuentra pigmentado en el nacimiento, sino que el pigmento aparece tras la madurez. Aunque la función de la neuromelanina en el cerebro sigue siendo desconocida, puede que sea el resultado de las monoamidas contenidas en los neurotransmisores, cuya única fuente se encuentra en las neuronas. La pérdida de color en el núcleo del cerebro se ha observado en ciertas enfermedades neurodegenerativas.[cita requerida]
En otros organismos
La melanina existe en el reino vegetal, animal y en el protista, donde sirve de pigmento. La presencia de melanina en los reinos Archaea y Bacteria sigue siendo motivo de debate entre los investigadores del área.[cita requerida]
Apariencia
Su color es negro, no refráctil, granular, teniendo los gránulos un diámetro aproximado de menos de 800 nm. Esta característica es lo que diferencia a la melanina de otros pigmentos contenidos en la sangre, que se encuentran en trozos más grandes y son refráctiles, en un intervalo de color del verde al amarillo así como el café rojizo.
Alteraciones genéticas y enfermedades
La deficiencia de melanina ha sido relacionada con numerosas anomalías genéticas y enfermedades. Existen diez tipos diferentes de albinismo oculocutáneo, que es principalmente una alteración recesiva autosómica. Ciertas etnias tienen mayor número de incidencias, en sus diferentes formas; por ejemplo, la más común es el llamado albinismo oculocutáneo del Tipo 2 (OCA2); este es especialmente común entre personas descendientes directos de África. Es una alteración recesiva y autosómica caracterizada por una reducción o ausencia congénita de melanina en la piel, pelo y ojos. La frecuencia estimada del OCA2 entre los afroamericanos es de uno cada diez mil, lo que contrasta en frecuencia con uno cada treinta y seis mil entre norteamericanos blancos. En algunas naciones africanas la frecuencia del padecimiento es aún mayor, yendo de uno cada dos mil a uno cada cinco mil. Otra forma de albinismo, el albinismo oculocutáneo amarillo, aparece prevalentemente entre los amish (cristianos bautistas) de ancestros suizos y alemanes. La gente con esta variante comúnmente tiene piel y cabello blanco al nacer, pero rápidamente generan pigmento durante su infancia.
El albinismo ocular afecta no solo la pigmentación del ojo, sino también su agudeza. Las pruebas de la vista realizadas a albinos dan resultados pobres con una frecuencia entre 20/60 y 20/400. La melanina del epitelio pigmentario absorbe el exceso de luz y evita la retrorreflexión, lo que tiene una gran importancia para obtener una mayor agudeza visual. Este es el motivo por el cual los animales albinos (sin pigmento de melanina) están siempre deslumbrados y que por ello apenas consigan un 20% de agudeza visual respecto a los animales que no lo son.[5] Existen dos formas de albinismo con una recurrencia aproximada de uno cada dos mil setecientos, directamente asociadas con las muertes a causa de melanomas.
Así también la mortalidad entre pacientes que padecen el síndrome de Hermansky-Pudlak y Chediak-Higashi ha ido en aumento. Los pacientes con el síndrome de Hermansky-Pudlak presentan una predisposición a desangrarse (debida a una falla en las plaquetas) así como también están predispuestos a padecer fibrosis pulmonar, desorden inflamatorio pulmonar, cardiomiopatía y deficiencia renal. Pacientes con el síndrome de Chédiak-Higashi son susceptibles a infecciones y pueden desarrollar el mal lymphofollicular. El rol que la deficiencia de melanina juega en estas enfermedades permanece todavía en estudio.
La conexión entre el albinismo y la sordera ha sido siempre conocida, pero poco comprendida, por más de un siglo y medio. En 1859 en el Tratado del origen de las especies, escrito por Charles Darwin, se apunta que «los gatos blancos de ojos azules generalmente son sordos». En los humanos, la hipopigmentación y la sordera coinciden en el extraño Síndrome de Waardenburg, predominantemente observado entre los indios hopi. La incidencia de albinismo en los indios hopi ha sido estimada en uno por cada doscientos individuos. Curiosamente, patrones similares de albinismo y sordera han sido encontrados en otros mamíferos, incluyendo perros y roedores. Sin embargo, la falta de melanina por sí misma no parece ser la responsable de la sordera asociada con la hipopigmentación, ya que la mayoría de los individuos que carecen de las enzimas requeridas para sintetizar la melanina no presentan ninguna deficiencia auditiva. Es en cambio la ausencia de melanocitos en la stria vascularis del oído interno, que resulta en deficiencia coclear, el origen del problema; sin embargo, la razón aún permanece desconocida, aunque se baraja la posibilidad de que la melanina posea una función protectora (podría ser, incluso, el mejor material absorbente de sonido hasta ahora conocido). A la vez, la melanina podría afectar el desarrollo, como sugería Darwin.
En el mal de Parkinson, una enfermedad que afecta el funcionamiento neuromotor, existe una disminución de neuromelanina en la substantia nigra como consecuencia de una disminución de neuronas dopaminérgicas, lo que resulta en una menor síntesis de dopamina. Aunque no se ha encontrado una relación entre la raza y los niveles de neuromelanina en la substantia nigra, una mayor incidencia de casos en la población blanca en relación con la negra «sugiere que la melanina cutánea podría de alguna manera servir de protección a la neuromelanina en la substantia nigra de toxinas externas»[cita requerida].
Aunado a la deficiencia de melanina, el peso molecular del polímero melanina podría disminuir a causa de varios factores como el estrés oxidativo (por exposición a la luz), resultando en una perturbación asociada con las proteínas primarias de la melanina, cambios en el pH o bien en concentraciones de iones de metal. Un descenso del peso molecular en el grado de polimerización de la melanina ocular, se cree que convierte el polímero, normalmente antioxidante, en un oxidante. En este estado pro-oxidante, la melanina pareciera estar envuelta en la causa y la progresión de la degeneración macular y el melanoma.
Adaptación humana
Los melanocitos se encargan de insertar gránulos de melanina en vesículas celulares especializadas llamadas melanosomas. Después, estos son transportados al interior de otras células de la piel localizadas en la epidermis. Los melanosomas se acumulan sobre el núcleo de la célula, donde protegen el ADN nuclear de cualquier mutación causada por la ionización o radiación que provocan los rayos ultravioleta del Sol. Las personas donde sus ancestros vivieron por largos periodos en regiones cercanas al ecuador generalmente tienen cantidades mayores de eumelanina en su piel. Esto hace que su piel se vea café o negra, y los protege de largos periodos de exposición solar, lo que frecuentemente resulta en melanomas en gente con tonos de piel más claros.
En los humanos, la exposición directa a la luz solar produce vitamina D3 en la piel al reaccionar el 7-deshidrocolesterol con la luz ultravioleta (UVB) en longitudes de onda entre 270 y 300 nm. Dado que los altos niveles de eumelanina cutánea actúan como un protector solar natural, la piel oscura puede tener riesgos de deficiencia de vitamina D. La vitamina D es necesaria para prevenir el raquitismo, una enfermedad causada por falta de calcio. Es encontrada en cantidad en el aceite de pescado.
En Escocia, que se localiza en la latitud Norte, los descendientes de los britanos tienen piel blanca a causa de mayor cantidad de feomelanina. De esta forma, la débil radiación solar existente es captada eficientemente para sintetizar vitamina D. Sin embargo, el escaso contenido de eumelanina en su piel es incapaz de protegerla contra la luz solar intensa. En contraste, en África, que está cerca del ecuador, los humanos requieren exposiciones prolongadas al Sol para que este penetre en su piel y así poder producir vitamina D. Esto es completamente normal. Sin embargo, cuando los esclavos negros empezaron a ser llevados a Inglaterra durante la Revolución industrial, éstos fueron los primeros en mostrar síntomas de raquitismo, crecimiento retardado, piernas arqueadas y fracturas, a causa de la falta de luz solar.
Afortunadamente, en 1930 la vitamina D fue descubierta y así se pudo dispensar como un suplemento a su dieta. En estos días alimentos como la leche o el pan están fortificados con vitamina D.
Estudios recientes demuestran que toda la humanidad se originó en África. Es más probable que los primeros pobladores hayan contado con grandes cantidades de melanocitos productores de eumelanina. Acorde a esto, tenían la piel oscura (como la muestra la gente originaria de África). Cuando alguna de esta gente migró y se estableció en otras zonas de Asia y Europa, la presión selectiva para la producción de eumelanina disminuyó en climas donde la radiación del sol era menos intensa; estas variaciones en los genes hicieron que la producción de melanina disminuyera en la población, resultando en cabello y piel más claros, sobre todo en las latitudes más altas. De las dos variantes genéticas comunes conocidas por estar asociadas con la piel humana pálida, Mc1r no parece que haya sido objeto de selección positiva, mientras que SLC24A5 sí.
Del mismo modo que la gente que migró hacia el norte, los que tienen piel clara y migraron al sur se aclimataron a una radiación solar más fuerte. La piel de la mayoría de la gente se oscurece al ser expuesta a luz UV, dándoles así mayor protección cuando es necesario. Este es el sentido fisiológico del bronceado. La gente con la piel oscurecida, que ha producido más eumelanina, tienen mayor protección contra las quemaduras solares y el desarrollo de melanoma, que es una forma potencialmente mortal de cáncer de piel, así como otros problemas de salud relacionados, incluyendo la fotodegradación de ciertas vitaminas como las rivoflaminas, carotenoides, tocoferol, y folato.
Las pecas y los lunares se forman en donde se localiza una mayor concentración de melanina en la piel. Están altamente asociados con la piel pálida.
La melanina ayuda a proteger los ojos de la luz ultravioleta, así como de la luz visible de alta frecuencia; por ello la gente de ojos azules se encuentra en mayor riesgo de padecer problemas en los ojos relacionados con la radiación solar. Además, las lentes oculares se amarillean con la edad, agregando más protección; sin embargo, estas mismas se vuelven más rígidas y pierden su orden, afectando a la capacidad de cambiar de forma para enfocar de lejos a cerca, una daño probablemente debido a la agregación de vitaminas, causada por la exposición a los rayos UVA.
Un reciente descubrimiento[¿cuál?] hecho por J.D. Simon sugiere que la melanina podría tener un papel relevante dentro de la fotoprotección. La melanina es capaz de ligar efectivamente los iones de metal a través de sus grupos de carboxilato e hidroxifenólicos, y en muchos casos mucho más eficientemente que la poderosa EDTA. Y así podría servir para neutralizar iones de metal potencialmente tóxicos, protegiendo al resto de la célula. Esta hipótesis mantiene el hecho de que la pérdida de neuromelanina en la enfermedad de Parkinson está ligada a un incremento en los niveles de hierro en el cerebro.
Propiedades físicas y aplicaciones tecnológicas
Espectro de absorción de la melanina
En 1963, DE Weiss[6] y sus colaboradores reportaron una alta conductividad eléctrica en la melanina, barniz ionizado, y en el polipirrol oxidado «negro». Lograron una conductividad eléctrica tan alta como 1 Om/cm. Una década después, John McGuiness y sus colaboradores reportaron una alta conductividad estable en un switch hecho con melanina DOPA. Más adelante, este material emitió un flash de luz —electroluminiscencia— cuando fue activado. La melanina muestra una resistencia negativa, una propiedad clásica en los polímeros electro-activos conductores. Del mismo modo, la melanina es el mejor material absorbente de sonido conocido hasta la fecha, esto debido a la fuerte formación de parejas electrón-fotón. Esto tal vez este relacionado con la presencia de melanina en el oído interno.
Estos descubrimientos estuvieron perdidos hasta el resurgimiento reciente de melaninas usadas en dispositivos, particularmente en displays electroluminicentes. En el año 2000, el premio Nobel de química fue obtenido por tres científicos por el subsecuente (re)descubrimiento y el desarrollo de dichos polímeros conductores orgánicos. Al parecer el Comité del premio Nobel no tenía ninguna evidencia del reporte casi idéntico que Weiss registró en 1977 sobre la alta conductividad pasiva en el polipirrol, ni de las propiedades de alta conductividad de la melanina DOPA y sus semiconductores similares. El dispositivo electrónico orgánico de melanina es exhibido en estos días en el Museo Nacional de la Historia Americana de la Institución Smithsoniana, en su sala Smithsonian Chips que cuenta con una colección de dispositivos electrónicos históricos.
La melanina influencia la actividad neuronal y media la conducción de radiación, luz, calor y energía cinética. Así pues, es sujeto de constante interés en la investigación y desarrollo biotecnológico, más notablemente en los electrónicos orgánicos (algunas veces llamados «electrónicos plásticos») y nanotecnología, donde semiconductores son usados para incrementar la conductividad de la melanina. El pirrol y acetileno negros son los semiconductores orgánicos estudiados más frecuentemente.
A pesar de que la melanina sintética (comúnmente referida como BSM, o Black Synthetic Matter, «Materia Sintética Negra») está hecha de 3-6 unidades oligométricas ligadas, referidas como «protomolécula», no existe evidencia alguna de que sea un biopolímero natural (BCM, por Black Cell Matter, «Materia de Celdas Negras»), pero emula su estructura. Sin embargo, no existe razón para creer que la melanina natural no pertenece a la categoría de los poliarenios y de las polienios policatónicos, como el pirrol y el acetileno negro, es necesario repasar todos los datos analíticos biológicos y químicos reunidos hasta la fecha en el estudio de las melaninas naturales (eumelaninas, feomelaninas, y alomelaninas).
Véase también
Referencias
- Cao, Wei; Zhou, Xuhao; McCallum, Naneki C.; Hu, Ziying; Ni, Qing Zhe; Kapoor, Utkarsh; Heil, Christian M.; Cay, Kristine S. et al. (24 de febrero de 2021). «Unraveling the Structure and Function of Melanin through Synthesis». Journal of the American Chemical Society 143 (7): 2622-2637. ISSN 0002-7863. doi:10.1021/jacs.0c12322. Consultado el 18 de septiembre de 2021.
- Nita Agara, Antony R. Young (abril de 2005). «Melanogenesis: a photoprotective response to DNA damage?». Mutation research 571 (1-2): 121-32. PMID 15748643. doi:10.1016/j.mrfmmm.2004.11.016.
- Meredith P, Riesz J (febrero de 2004). «Radiative relaxation quantum yields for synthetic eumelanin». Photochemistry and photobiology 79 (2): 211-6. PMID 15068035. doi:10.1562/0031-8655(2004)079<0211:RCRQYF>2.0.CO;2.
- G. Prota; A. G. Searle (1978), «Biochemical sites of gene action for melanogenesis in mammals», Annales de génétique et de sélection animale 10 (1): 1-8, doi:10.1186/1297-9686-10-1-1.
- La retina
- Weiss, D.E.; Bolto B. A., McNeill R. (junio de 1963). «Electronic Properties of Polypyrrole». Australian Journal of Chemistry 16 (6): 1090-1103. doi:10.1071/CH9631090.
Enlaces externos
Wikimedia Commons alberga una categoría multimedia sobre Melanina.
Wikcionario tiene definiciones y otra información sobre melanina.- Esta obra contiene una traducción derivada de «Melanin» de Wikipedia en inglés, publicada por sus editores bajo la Licencia de documentación libre de GNU y la Licencia Creative Commons Atribución-CompartirIgual 4.0 Internacional.